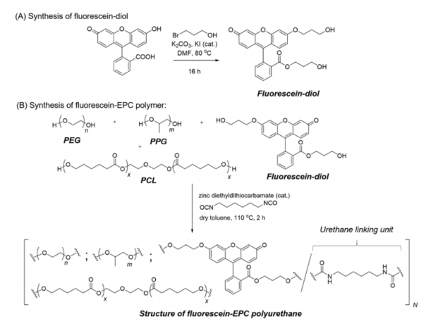
名稱:nEPCs
組成:聚乙二醇(PEG)+聚丙二醇(PPG)+聚己內酯(PCL)
粒徑:20-100nm
應用:載藥和抗血管生成
儲存條件:-4℃
其他說明:密封狀態下保質期半年【主要優勢】加載阿非利賽普的nEPCs (nEPCs + A)能夠在離體豬眼模型中穿透角膜,并在激光誘導的脈絡膜新生血管(CNV)小鼠模型中向視網膜遞送臨床顯著量的阿非利賽普,導致CNV回歸。nEPCs + A也表現出體外和體內的生物相容性nEPCs具有內在的抗血管生成特性。輸送抗vegf藥物的能力和nEPCs固有的抗血管生成特性可能導致協同效應,這可以用于有效的治療
題目:
Antiangiogenic Nanomicelles for the Topical Delivery of Aflibercept to Treat Retinal Neovascular Disease
文章鏈接:
http://www.nanoer.net/showinfo-4-38658.html
留言咨詢
|
|
 |
| 生物納米材料前沿 |
 |
| 納米醫學Frontier |
|
溫馨提示:蘇州北科納米供應產品僅用于科研,不能用于人體,不同批次產品規格性能有差異。網站部分文獻案例圖片源自互聯網,圖片僅供參考,請以實物為主,如有侵權請聯系我們立即刪除。
提示說明:納米材料工藝和制備可能會有改變 所有納米材料均支持按需定制 下單前聯系客服確認產品詳細信息。 |