材料名稱:MOF-303(Al)
其他名稱:Al(OH)(HPDC)
CAS:2050043-41-7
結構信息
單位分子式
C8H4O5Al
單位分子量
197.06128
配位金屬
Al
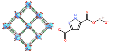
配體
H2PDC 3,5-吡唑二甲酸(CAS:3112-31-0)
孔徑
垂直孔道:0.8nm*1.3nm
孔容
0.54 cm3/g
比表面
BET比表面 900-1100 m2/g
模擬結構
產品性狀
產品形貌
白色粉末
White Powder
粒徑
500nm-1um 片塊狀顆粒
穩定性
1) MOF-303(Al)在空氣中較穩定,在水溶液和堿性條件較為穩定;強堿條件下不穩定
2) 高熱穩定性、熱分解溫度大于400℃
保存和活化方法
1) 常溫或低溫條件下,干燥密封保存
2) 建議使用前150度(真空)烘箱活化12小時
其他特性
熒光:NA
應用領域
1) 氣體和污染物(如各類金屬離子)吸附
2) 作為路易斯酸催化劑
3) MOF-303在低濕度條件下(<20%)仍具有很強的吸濕性能(0.23g H2O/g MOF-303),可作為高效吸水劑和工業干燥劑
表征圖譜

參考文獻
1) Farhad Fathieh, Markus J. Kalmutzki, Eugene A. Kapustin, Peter J. Waller, ingjing Yang, Omar M. Yaghi, Sci. Adv. 2018, 4(6), eaat3198, DOI: 10.1126/sciadv.aat3198 ; Practical water production from desert air
留言咨詢
|
|
 |
| 生物納米材料前沿 |
 |
| 納米醫學Frontier |
|
溫馨提示:蘇州北科納米供應產品僅用于科研,不能用于人體,不同批次產品規格性能有差異。網站部分文獻案例圖片源自互聯網,圖片僅供參考,請以實物為主,如有侵權請聯系我們立即刪除。
提示說明:納米材料工藝和制備可能會有改變 所有納米材料均支持按需定制 下單前聯系客服確認產品詳細信息。 |