材料名稱:MIL-53(Al)
其他名稱:Basolite A100
CAS:654061-20-8
結構信息
單位分子式
C8H4O5Al
單位分子量
207.09
配位金屬
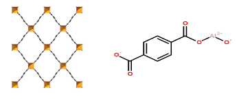
Al
配體
對苯二甲酸(CAS:100-21-0)
孔徑
垂直孔道:0.8nm*1.3nm
孔容
0.7 cm3/g
比表面
BET比表面 1100 m2/g
模擬結構
產品性狀
產品形貌
白色粉末
White Powder
粒徑
5-10um 不規則片塊
穩定性
1) MIL-53(Al)在空氣中較穩定,在水溶液和堿性條件較為穩定
2) 高熱穩定性、熱分解溫度大于400℃
保存和活化方法
1) 常溫或低溫條件下,干燥密封保存
2) 建議使用前150度(真空)烘箱活化3小時
其他特性
熒光:NA
應用領域
1) 氣體(如二氧化碳)和污染物吸附
2) 作為路易斯酸催化劑
3) 柔性的一維菱形孔道結構,并且客體分子或機械壓力能誘導材料結構發生“小孔-大孔-小孔”呼吸效應。
表征圖譜

參考文獻
1) T. Loiseau, C. Serre, C. Huguenard, G. Fink, F. Taulelle, M. Henry, T. Bataille, G. Férey, Chem. Eur. J. 2004, 10, 1373-1782, DOI: 10.1002/chem.200305413 ; A Rationale for the Large Breathing of the Porous Aluminum Terephthalate (MIL‐53) Upon Hydration
留言咨詢
|
|
 |
| 生物納米材料前沿 |
 |
| 納米醫學Frontier |
|
溫馨提示:蘇州北科納米供應產品僅用于科研,不能用于人體,不同批次產品規格性能有差異。網站部分文獻案例圖片源自互聯網,圖片僅供參考,請以實物為主,如有侵權請聯系我們立即刪除。
提示說明:納米材料工藝和制備可能會有改變 所有納米材料均支持按需定制 下單前聯系客服確認產品詳細信息。 |