材料名稱:NH2-MIL-53(Al)
其他名稱:NA
CAS:1134360-62-5
結構信息
單位分子式
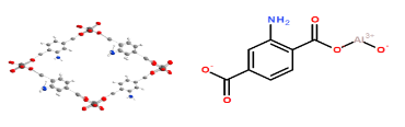
C8H5NO5Al
單位分子量
222.11
配位金屬
Al
配體
2-氨基對苯二甲酸(CAS:10312-55-7)
孔徑
0.8nm; 1.3nm
孔容
0.5 cm3/g
比表面
BET比表面 950 m2/g,
模擬結構
產品性狀
產品形貌
白色粉末
White Powder
粒徑
100nm 或 500nm
穩定性
1) NH2-MIL-53(Al)在空氣中較穩定,在水溶液和堿性條件較為穩定
2)高熱穩定性、熱分解溫度大于400℃
保存和活化方法
1) 常溫或低溫條件下,干燥密封保存
2) 建議使用前150度(真空)烘箱活化3小時
其他特性
熒光:NA
應用領域
1) 氣體(如二氧化碳)和污染物吸附
2) 作為路易斯酸催化劑
表征圖譜

參考文獻
1)Ahnfeldt, T., Gunzelmann, D., Loiseau, T., Hirsemann, D., Senker, J., Férey, G., Stock, N. Inorg. Chem.2009,48,7, 3057-3064; doi: 10.1021/ic8023265
2)Gascon, J.; Aktay, U.; Hernandez-Alonso, Maria D.; van K., Gerard P. M.; Kapteijn, F., Journal of Catalysis (2009), 261 (1), 75-87
留言咨詢
|
|
 |
| 生物納米材料前沿 |
 |
| 納米醫學Frontier |
|
溫馨提示:蘇州北科納米供應產品僅用于科研,不能用于人體,不同批次產品規格性能有差異。網站部分文獻案例圖片源自互聯網,圖片僅供參考,請以實物為主,如有侵權請聯系我們立即刪除。
提示說明:納米材料工藝和制備可能會有改變 所有納米材料均支持按需定制 下單前聯系客服確認產品詳細信息。 |